http://www.bip.gov.pl
  Drukuj strone
Gmina Miejska Górka
Urząd Miejski
Organy władzy publicznej
Rada Miejska
Skład Rady Miejskiej
Komisje Rady Miejskiej
Protokoły z Sesji
Uchwały Rady Miejskiej
Uchwały Rady Miejskiej 2020 r.
Uchwały Rady Miejskiej 2019 r.
Uchwały Rady Miejskiej 2018 r.
Uchwały Rady Miejskiej 2017r.
Uchwały Rady Miejskiej 2016 r.
Uchwały Rady Miejskiej 2015
Uchwały Rady Miejskiej 2014 r.
Uchwały Rady Miejskiej 2013 r.
Uchwały Rady Miejskiej 2012 r.
Uchwały Rady Miejskiej 2011 r.
Uchwały Rady Miejskiej 2010 r.
Uchwały Rady Miejskiej 2009 r.
Uchwały Rady Miejskiej 2008 r.
Uchwały Rady Miejskiej 2007 r.
Uchwały Rady Miejskiej 2006 r.
Uchwały Rady Miejskiej 2005 r.
Porządek obrad najbliższej Sesji
Sesje Rady - wideo
Imienne głosowanie Radnych
Wnioski i interpelacje Radnych
Zbiór aktów prawa miejscowego
Burmistrz
Raport o stanie Gminy
Jednostki organizacyjne samorządu terytorialnego
Zamówienia Publiczne
Przetargi
Petycje
Wybory
Procedury Obsługi Interesanta
Praca
Deklaracja dostępności
Koordynator do spraw dostępności
Oświadczenia majątkowe
RODO
Konsultacje społeczne
Informacje


 
Uchwały Rady Miejskiej 2012 r. 
Uchwały Rady Miejskiej
 
data publikacji:  01-10-2012 | 09:45
data ostatniej modyfikacji:  01-10-2012 | 09:45
ostatnio modyfikowal: Karol Skrzypczak
Uchwała Nr XXIV/119/12 w sprawie: dokonania zmian w Wieloletniej Prognozie Finansowej Gminy Miejska Górka na lata 2012 – 2023 01.10.2012

 

Uchwała Nr XXIV/119/12
Rady Miejskiej w Miejskiej Górce
z dnia 28 września 2012 roku
 
w sprawie: dokonania zmian w Wieloletniej Prognozie Finansowej Gminy Miejska Górka na lata 2012 – 2023
 
Na podstawie art. 18 ust. 2 pkt 15 ustawy z dnia 8 marca 1990 r. o samorządzie gminnym (tekst jednolity Dz. U. z 2001 r. Nr 142, poz. 1591 ze zm.) oraz art. 226, 227, 229 oraz art. 231 ustawy z dnia 27 sierpnia 2009 roku o finansach publicznych ( Dz. U. Nr 157, poz. 1240 ze zm.) w związku z przepisem art. 121 ust. 8 oraz art. 122 ust. 3 ustawy z dnia     27 sierpnia 2009 r. Przepisy wprowadzające ustawę o finansach publicznych (Dz. U. Nr 157, poz. 1241 ze zm.) oraz Uchwałą Nr XXII/109/12 Rady Miejskiej w Miejskiej Górce z dnia   25 lipca 2012 roku w sprawie dokonania zmian w budżecie na rok 2012, Uchwałą                 Nr XXIII/115/12 Rady Miejskiej w Miejskiej Górce z dnia 29 sierpnia 2012 roku w sprawie dokonania zmian w budżecie na rok 2012, Uchwałą Nr XXIV/120/12 Rady Miejskiej w Miejskiej Górce z dnia 28 września 2012 roku w sprawie dokonania zmian w budżecie na rok 2012
 
Rada Miejska w Miejskiej Górce uchwala co następuje :
 
§ 1
 
W Uchwale Nr XV/69/12 Rady Miejskiej w Miejskiej Górce z dnia 31 stycznia 2012 roku w sprawie uchwalenia Wieloletniej Prognozy Finansowej Gminy Miejska Górka na lata 2012-2023
 
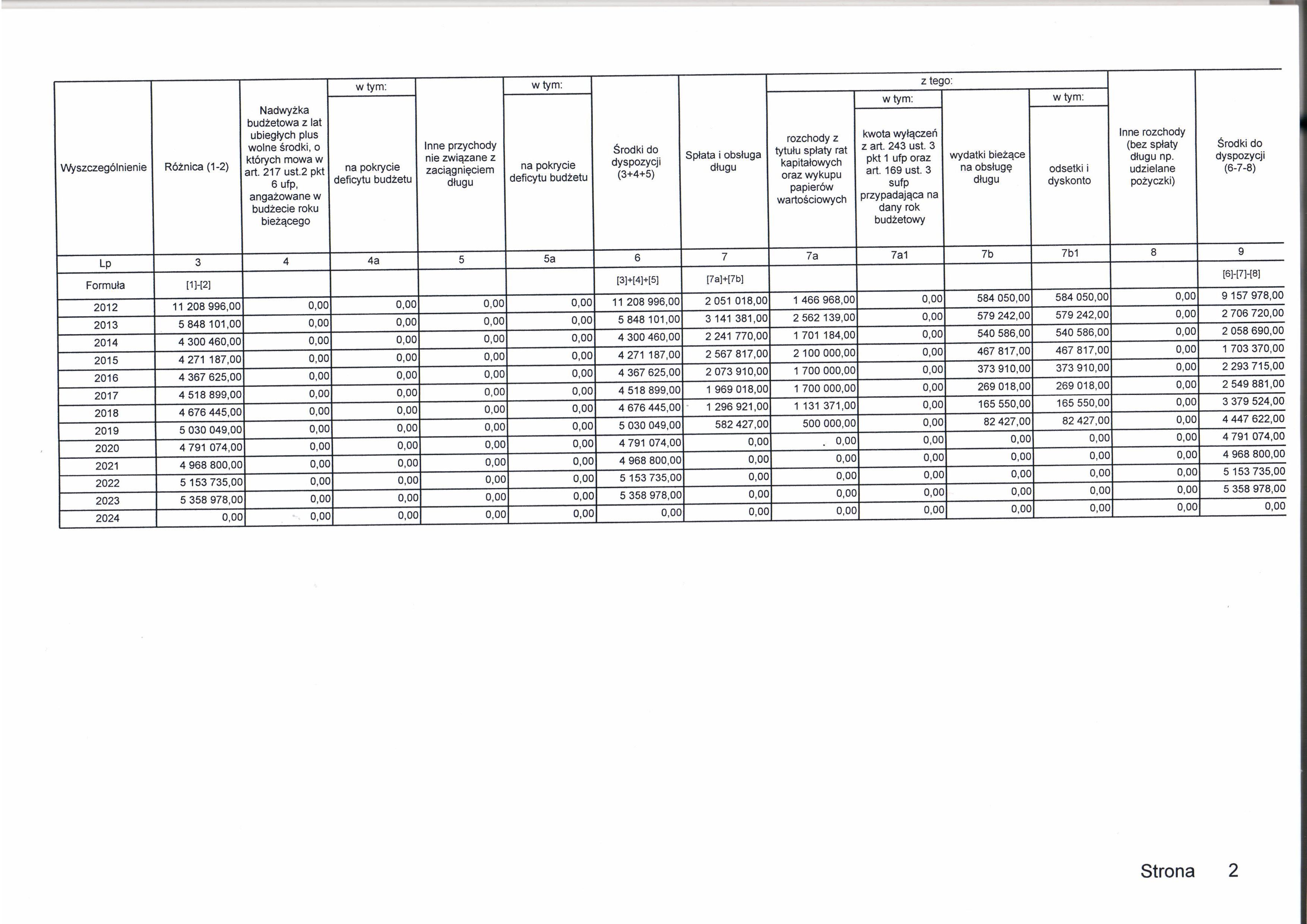
1.Dokonuje się zmian w Wieloletniej Prognozie Finansowej Gminy Miejska Górka na lata 2012-2023 tj. w Załączniku Nr 1 cytowanej wyżej Uchwały w zakresie podanym w tabeli :

Pozycja
Załącznika Nr 1
Wyszczególnienie
Zmiana w prognozie 2012
 
 
1
Dochody ogółem (1a + 1b)
+ 234.025,00
1a
dochody bieżące
+ 231.489,00
1a1
w tym : środki z UE
+ 419,00
1b
dochody majątkowe
+ 2.536,00
2
Wydatki bieżące (bez odsetek i prowizji od : kredytów i pożyczek oraz wyemitowanych papierów wartościowych)
+ 225.313,00
2a
na wynagrodzenia i składki od nich naliczane
- 36,00
2b
związane z funkcjonowaniem organów JST
- 10.000,00
3
Różnica (1-2)
+ 8.712,00
6
Środki do dyspozycji (3+4+5)
+ 8.712,00
9
Środki do dyspozycji (6-7-8)
+ 8.712,00
10
Wydatki majątkowe
+ 8.712,00
23
Dochody bieżące (1a)
+ 231.489,00
24
Wydatki bieżące razem (2+7b)
+ 225.313,00
25
Dochody bieżące-wydatki bieżące (23-24)
+ 6.176,00
26
Dochody ogółem (1)
+ 234.025,00
 
27
Wydatki ogółem (10+24)
+ 234.025,00

 
2. Załącznik Nr 1 do Uchwały Nr XV/69/12 z dnia 31 stycznia 2012 roku otrzymuje brzmienie jak Załącznik Nr 1 do niniejszej Uchwały.
 
§ 2
 
Wykonanie Uchwały powierza się Burmistrzowi Miejskiej Górki.
 
§ 3
 
Uchwała wchodzi w życie z dniem podjęcia.
 
 
 
 
 
 
 
 
 
 
 
 
 
 
 
 
 
 
 
 
 
 
 
 
                                                                                 
««« powrót
 
 


Interaktywna Polska